Soal Dan Kunci Ujian Pdgk 4402
Soal Ujian Pdgk 4405 Materi Dan Pembelajaran Ips Sd Cara Mengajarku. Soal ujian UT Universitas Terbuka PGSD PDGK4203 Pendidikan Matematika 1 beserta kunci jawaban dan pembahasan soalnya dapat Anda lihat pada artikel ini khususnya untuk Anda Mahasiswa UT jurusan Pendidikan Guru Sekolah Dasar PGSD yang sedang menempuh pendidikan pada semester 3.
Referensi Soal Uts Karya Tulis Ilmiah
Blog Tentang Berbagi File Aplikasi dan Administrasi Guru.

Soal dan kunci ujian pdgk 4402. P v q D. Pada postingan atau artikel kami sebelumnya kami telah berbagai terkait soal ujian UT PGSD semester 3 yaitu soal. Doc Soal Pengantar Ekonomi Mikro Feblin Yanti Academia Edu.
P v q C. P v q Jawab. Soal Ujian UT PGSD PDGK 4302 Pembelajaran Kelas Rangkap Semester 5.
Satu ruang kelas atau lebih dan menghadapi dua atau lebih tingkat kelas yang berbeda. Soal Ujian Pdgk 4405 - DOWNLOAD c11361aded Kunci Jawaban Soal Ujian UT PGSD PDGK 4405 Materi dan Pembelajaran IPS SD Kunci Jawaban Soal Ujian UT PGSD PDGK 4500 Tugas Akhir Program TAPlatihan soal materi yang telah dipelajari Kode Mata Kuliah. Berikut kelebihan atau keterbatasan model pembelajaran interaktif kecuali.
Soal Latihan Usbn Ppkn Kurikulum 2013 Pendidikan Kurikulum Latihan. P v q B. Sebelumpun kami telah berbagi Soal Ujian UT PGSD Semester 6 yaitu Soal Ujian UT PGSD PDGK4407 Pengantar Pendidikan Anak Berkebutuhan Khusus yang juga bisa Anda.
Soal Ujian Ut Pdgk 4303 Tahun 2018 Perilaku Manusia Tingkat Pendidikan Perspektif. Ujian ut 2015 ujian pdgk 4208 Jawaban XI IPS SMA ipa Soal uas pgsd pdgk 4208Soal ujian ut pgsd. Soal ujian ut pgsd pdgk4503 materi dan pembelajaran ipa sd beserta kunci jawaban dan pembahasan soal kami sajikan untuk anda mahasiswa ut universitas terbuka pendas jurusan s1 pgsd pendidikan guru sekolah dasar yang sekarang ini sedang menempuh pindidikan pada semester 9.
Kunci Jawaban Soal Ujian UT PGSD PDGK 4202 Pembelajaran IPA di SD. P v q B. Pada postingan kami sebelumnya kami telah berbagi Soal Ujian UT PGSD Semester 9 terakhir kami berbagi Soal Ujian.
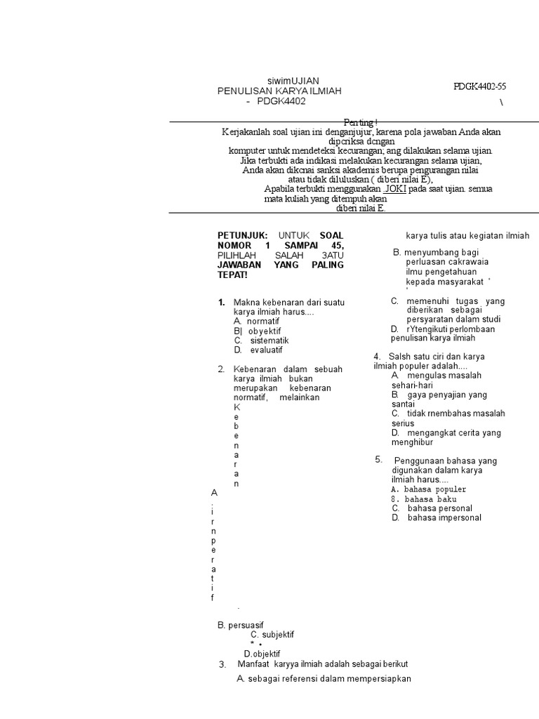
Menanyakan fungsi alat-alat pencernaan dalam tubuh. Soal Ujian Penulisan Karya Ilmiah PDGK4402 Yenny Af populasi dan sampel teknik analisis data Csimpulan kelemahan penelitianKalimat di bawah ini yang. Materi Dan Soal Latihan Sbmptn Soshum Ekonomi.
SOAL UJIAN UNIVERSITAS TERBUKA FAKULTAS KEGURUAN ILMU PENDIDIKAN PENDIDIKAN GURU SEKOLAH DASAR PGSD Matematika PDGK4108 FAKULTAS KEGURUAN ILMU PENDIDIKAN UNIVERSITAS TERBUKA Soal Ujian Universitas Terbuka Soal Ujian. Jika p seekor ayam mempunyai 2 kaki q Surabaya. Soal ujian UT PGSD PDGK4503 Materi dan Pembelajaran IPA SD beserta kunci jawaban dan pembahasan soal kami sajikan untuk Anda Mahasiswa UT Universitas Terbuka Pendas jurusan S1 PGSD Pendidikan Guru Sekolah Dasar yang sekarang ini sedang menempuh pindidikan pada semester 9.
Soal Ujian Tugas Akhir Program Pgsd Ut. Laporan Ut Pgsd Praktikum Ipa Di Sd Pdgk4107 Fisika Soal. P v q D.
Soal dan Pembahasan Kunci Jawaban PDGK4108 Matematika 1. Pembelajaran kelas rangkap adalah bentuk pembelajaran yang mempersyaratkan seorang guru mengajar dalam A. Soal uts kelas iv sdmi ini telah sedia kunci jawaban dan jumlah soal yang sudah di susun sebanyak 40 soal terdiri 3.
Jika p seekor ayam mempunyai 2 kaki q Surabaya terletak di pulau Kalimantan Maka disjungsi berikut ini yang bernilai salah adalah. Berikut ini ada beberapa soal termasuk kedalam file yang dibagikan. Soal dan Pembahasan Kunci Jawaban PDGK4108 Matematika.
PDGK4106 LATIHAN SOAL UAS S1 PGSD UNIVERSITAS TERBUKA UT PDGK 4106 PENDIDIKAN IPS DI SD 1. Nov 12 2018 Soal Ujian UT PDGK 4302 Tahun 2018 Pembelajaran Kelas Rangkap ini kami rangkum dari Materi Mata Kuliah setiap pertemuannya itupun hal-hal yang paling mendasar supaya memudahkan dalam menjawab setiap pertanyaan yang ada. Soal Ujian Sekolah USUSBD atau Ujian Akhir Madrasah UAM-UAMBD.
Soal Ujian Ut Pgsd Semester 7 Beserta Kunci Jawaban Soal. Teks penuh 1 Butir Soal dan Kunci Jawaban. Kunci Jawaban Soal Ujian Pendidikan Ips Di Sd Pdgk 4106 Revisi 2021.
Kontrapositif dari implikasi Jika kuadrat suatu bilangan asli adalah genap maka. Soal Ujian UT PGSD PDGK4302 Pembelajaran Kelas Rangkap ini sudah ada kunci jawabannya kembali kami share atau bagikan untuk teman-teman Mahasiswa UT yang tak lama lagi akan menghadapi Ujian Akhir Semester. Soal Soal Ujian Ut Pgsd Lengkap Jika Maka.
P v q C. Jika p seekor ayam mempunyai 2 kaki q Surabaya terletak di pulau Kalimantan Maka disjungsi berikut ini yang bernilai salah adalah. Kunci jawaban soal ujian pendidikan ips di sd pdgk 4106 revisi 2021.
Pada artikel sebelum ini kamipun telah memposting Soal Ujian UT PGSD Semester 8 yaitu Soal Ujian UT PGSD PDGK4401 Materi dan Pembelajaran PKn SD yang mana bisa Anda lihat dan. P v q Jawab. Contoh Soal Ekonomi Lengkap Dengan Kunci Jawaban.
Jan 08 2021 Pdgk4405 materi dan pembelajaran ips sd udin s.
Soal Ujian Ut Pgsd Pema4210 Statistika Pendidikan Disertai Kunci Jawaban Soalut Com
Soal Ujian Ut Pgsd Pema4210 Statistika Pendidikan Disertai Kunci Jawaban Soalut Com
Soal Universitas Terbuka Facebook
Soal Ujian Ut Pgsd Pema4210 Statistika Pendidikan Disertai Kunci Jawaban Soalut Com
Soal Ujian Ut Pgsd Pdgk4403 Pendidikan Anak Di Sd Lengkap Dengan Kunci Jawaban
Soal Ujian Ut Pgsd Pema4210 Statistika Pendidikan Disertai Kunci Jawaban Soalut Com
Soal Ut Terbaru Soal Ujian Ut Pgsd Pdgk4305 Keterampilan Menulis Disertai Kunci Jawaban
Soal Ujian Ut Pgsd Pema4210 Statistika Pendidikan Disertai Kunci Jawaban Soalut Com
Soal Ujian Ut Pgsd Pema4210 Statistika Pendidikan Disertai Kunci Jawaban Soalut Com
Kunci Jawaban Soal Ujian Penulisan Karya Ilmiah Pdgk4402 Bagian 5 Modul Ut
Soal Ut Terbaru Soal Ujian Ut Pgsd Pdgk4305 Keterampilan Menulis Disertai Kunci Jawaban
Soal Ujian Ut Pgsd Pema4210 Statistika Pendidikan Disertai Kunci Jawaban Soalut Com
Soal Uas Ips Kelas 6 2013 2014
Soal Ujian Ut Pgsd Pema4210 Statistika Pendidikan Disertai Kunci Jawaban Soalut Com
Soal Ujian Ut Pgsd Pdgk4406 Pembelajaran Matematika Sd Lengkap Dengan Kunci Jawaban
Soal Ujian Ut Pgsd Pema4210 Statistika Pendidikan Disertai Kunci Jawaban Soalut Com
Materi Pembelajaran Ips Tahun Ajar
Contoh Karya Ilmiah Ut Ilmusosial Id
Soal Ujian Ut Pgsd Pdgk4403 Pendidikan Anak Di Sd Lengkap Dengan Kunci Jawaban
Posting Komentar untuk "Soal Dan Kunci Ujian Pdgk 4402"